Eigenfunction & Eigenvalue Gallery¶
Each spectral transform (DST-I through IV, DCT-I through IV, FFT) diagonalises the discrete Laplacian for a specific combination of boundary conditions and grid placement. This notebook visualises the eigenfunctions and eigenvalues for all nine types, making the connection between transform, BC, and grid immediately visible.
Transform–BC–Grid Map¶
| Transform | Left BC | Right BC | Grid | Eigenvalue formula |
|---|---|---|---|---|
| DST-I | Dirichlet | Dirichlet | Regular | $-\frac{4}{dx^2}\sin^2\!\frac{\pi(k+1)}{2(N+1)}$ |
| DST-II | Dirichlet | Dirichlet | Staggered | $-\frac{4}{dx^2}\sin^2\!\frac{\pi(k+1)}{2N}$ |
| DCT-I | Neumann | Neumann | Regular | $-\frac{4}{dx^2}\sin^2\!\frac{\pi k}{2(N-1)}$ |
| DCT-II | Neumann | Neumann | Staggered | $-\frac{4}{dx^2}\sin^2\!\frac{\pi k}{2N}$ |
| DST-III | Dirichlet | Neumann | Regular | $-\frac{4}{dx^2}\sin^2\!\frac{\pi(2k+1)}{4N}$ |
| DCT-III | Neumann | Dirichlet | Regular | (same formula) |
| DST-IV | Dirichlet | Neumann | Staggered | (same formula) |
| DCT-IV | Neumann | Dirichlet | Staggered | (same formula) |
| FFT | Periodic | Periodic | — | $-\frac{4}{dx^2}\sin^2\!\frac{\pi k}{N}$ |
from pathlib import Path
import jax
import jax.numpy as jnp
import matplotlib
import matplotlib.pyplot as plt
import numpy as np
matplotlib.use("Agg")
jax.config.update("jax_enable_x64", True)
from spectraldiffx import (
dct,
dct1_eigenvalues,
dct2_eigenvalues,
dct3_eigenvalues,
dct4_eigenvalues,
dst,
dst1_eigenvalues,
dst2_eigenvalues,
dst3_eigenvalues,
dst4_eigenvalues,
fft_eigenvalues,
idct,
idst,
)
IMG_DIR = Path(__file__).resolve().parent.parent / "docs" / "images" / "eigenfunction_gallery"
IMG_DIR.mkdir(parents=True, exist_ok=True)
0. DST-I and DCT-II Basis Functions¶
Before looking at all nine transform types, let us visualize the two most common bases: DST-I (Dirichlet BCs) and DCT-II (Neumann BCs).
- DST-I basis functions: $\phi_k(n) = \sin\!\left(\frac{\pi(n+1)(k+1)}{N+1}\right)$ — vanish at the boundary points $n = -1$ and $n = N$.
- DCT-II basis functions: $\phi_k(n) = \cos\!\left(\frac{\pi k(2n+1)}{2N}\right)$ — have zero slope at the boundary (cell faces).
N_stem = 8
n_stem = np.arange(N_stem)
fig, axes = plt.subplots(2, 4, figsize=(13, 5), sharex=True, sharey=True)
# DST-I: sin(pi * (n+1)*(k+1) / (N+1))
for ki in range(4):
ax = axes[0, ki]
vals = np.sin(np.pi * (n_stem + 1) * (ki + 1) / (N_stem + 1))
ax.stem(n_stem, vals, linefmt="C0-", markerfmt="C0o", basefmt="k-")
ax.set_title(f"DST-I $k={ki+1}$", fontsize=10)
ax.set_ylim(-1.3, 1.3)
ax.axhline(0, color="k", lw=0.5)
if ki == 0:
ax.set_ylabel("Dirichlet (sin)")
# DCT-II: cos(pi * k * (2n+1) / (2N))
for ki in range(4):
ax = axes[1, ki]
vals = np.cos(np.pi * ki * (2 * n_stem + 1) / (2 * N_stem))
ax.stem(n_stem, vals, linefmt="C1-", markerfmt="C1o", basefmt="k-")
ax.set_title(f"DCT-II $k={ki}$", fontsize=10)
ax.set_ylim(-1.3, 1.3)
ax.axhline(0, color="k", lw=0.5)
ax.set_xlabel("$n$")
if ki == 0:
ax.set_ylabel("Neumann (cos)")
plt.suptitle(f"DST-I and DCT-II Basis Functions ($N = {N_stem}$)", fontsize=13, y=1.02)
plt.tight_layout()
fig.savefig(IMG_DIR / "basis_functions_stem.png", dpi=150, bbox_inches="tight")
plt.show()

The DST-I modes vanish at the implicit boundary points (Dirichlet condition), while the DCT-II $k=0$ mode is constant and higher modes have zero slope at the cell faces (Neumann condition).
1. Same-BC Eigenfunctions¶
When both boundaries have the same BC type (both Dirichlet or both Neumann), the eigenfunctions are pure sines or cosines.
DST-I (Dirichlet, regular) DST-II (Dirichlet, staggered)
ψ=0 · · ψ=0 ψ=0 | | ψ=0
· o o · (wall) x x (wall)
· o o · x x x
· o o · x x x
· o o · x x x
·─────────────────────· |─────────────────────|
0 1 2 3 4 5 6 7 0 1 2 3 4 5 6 7
o = grid point ON vertex x = grid point AT cell centre
ψ vanishes at grid points ψ vanishes BETWEEN grid points
0 and N+1 (implicit) at walls half-spacing outside
N = 16
dx = 1.0
n_modes = 4 # show first 4 eigenfunctions
def build_eigenfunctions_dst1(N):
"""DST-I eigenfunctions: sin(pi*(k+1)*(j+1)/(N+1))."""
j = np.arange(N)
k = np.arange(N)
return np.sin(np.pi * np.outer(j + 1, k + 1) / (N + 1))
def build_eigenfunctions_dst2(N):
"""DST-II eigenfunctions: sin(pi*(k+1)*(2j+1)/(2N))."""
j = np.arange(N)
k = np.arange(N)
return np.sin(np.pi * np.outer(2 * j + 1, k + 1) / (2 * N))
def build_eigenfunctions_dct1(N):
"""DCT-I eigenfunctions: cos(pi*k*j/(N-1))."""
j = np.arange(N)
k = np.arange(N)
return np.cos(np.pi * np.outer(j, k) / (N - 1))
def build_eigenfunctions_dct2(N):
"""DCT-II eigenfunctions: cos(pi*k*(2j+1)/(2N))."""
j = np.arange(N)
k = np.arange(N)
return np.cos(np.pi * np.outer(2 * j + 1, k) / (2 * N))
# Grid positions for plotting
x_dst1 = np.arange(1, N + 1) / (N + 1) # interior vertices
x_dst2 = (2 * np.arange(N) + 1) / (2 * N) # cell centres
x_dct1 = np.arange(N) / (N - 1) # vertices incl. boundary
x_dct2 = (2 * np.arange(N) + 1) / (2 * N) # cell centres
phi_dst1 = build_eigenfunctions_dst1(N)
phi_dst2 = build_eigenfunctions_dst2(N)
phi_dct1 = build_eigenfunctions_dct1(N)
phi_dct2 = build_eigenfunctions_dct2(N)
fig, axes = plt.subplots(2, 2, figsize=(13, 9))
colors = plt.cm.tab10(np.linspace(0, 1, n_modes))
configs = [
(axes[0, 0], phi_dst1, x_dst1, "DST-I: Dirichlet, regular", "o"),
(axes[0, 1], phi_dst2, x_dst2, "DST-II: Dirichlet, staggered", "s"),
(axes[1, 0], phi_dct1, x_dct1, "DCT-I: Neumann, regular", "^"),
(axes[1, 1], phi_dct2, x_dct2, "DCT-II: Neumann, staggered", "v"),
]
for ax, phi, x, title, marker in configs:
for k in range(n_modes):
ax.plot(x, phi[:, k], f"{marker}-", ms=4, color=colors[k],
label=f"$k={k}$", alpha=0.8)
# Mark boundaries
ax.axvline(0, color="C3", ls="--", lw=1.5, alpha=0.7, label="Boundary")
ax.axvline(1, color="C3", ls="--", lw=1.5, alpha=0.7)
ax.axhline(0, color="k", ls=":", lw=0.5)
ax.set_title(title, fontsize=12)
ax.set_xlabel("$x / L$")
ax.set_ylabel(r"$\phi_k(x)$")
ax.legend(fontsize=8, ncol=3, loc="lower left")
ax.grid(True, alpha=0.2)
plt.suptitle(f"Same-BC Eigenfunctions ($N={N}$)", fontsize=14, y=1.01)
plt.tight_layout()
fig.savefig(IMG_DIR / "same_bc_eigenfunctions.png", dpi=150, bbox_inches="tight")
plt.show()

Key differences to notice:
- DST-I eigenfunctions vanish exactly at $x=0$ and $x=1$ (grid points on boundary).
- DST-II eigenfunctions vanish at positions between the first/last cell centre and the boundary — the zero crossing is half a grid spacing outside the domain.
- DCT-I $k=0$ mode is a constant; the function and its derivative equal zero at boundaries.
- DCT-II $k=0$ mode is also constant; the zero-derivative condition is at the cell faces.
2. Mixed-BC Eigenfunctions¶
When different BCs apply at each end (Dirichlet on one side, Neumann on the other), the eigenfunctions use half-integer mode indices:
- DST-III: Dirichlet left, Neumann right (regular grid)
- DCT-III: Neumann left, Dirichlet right (regular grid)
- DST-IV: Dirichlet left, Neumann right (staggered grid)
- DCT-IV: Neumann left, Dirichlet right (staggered grid)
All four share the same eigenvalue formula: $\lambda_k = -\frac{4}{dx^2}\sin^2\!\left(\frac{\pi(2k+1)}{4N}\right)$.
def build_eigenfunctions_dst3(N):
"""DST-III: sin(pi*(2k+1)*(j+1)/(2N))."""
j = np.arange(N)
k = np.arange(N)
return np.sin(np.pi * np.outer(j + 1, 2 * k + 1) / (2 * N))
def build_eigenfunctions_dct3(N):
"""DCT-III: cos(pi*(2k+1)*j/(2N))."""
j = np.arange(N)
k = np.arange(N)
return np.cos(np.pi * np.outer(j, 2 * k + 1) / (2 * N))
def build_eigenfunctions_dst4(N):
"""DST-IV: sin(pi*(2k+1)*(2j+1)/(4N))."""
j = np.arange(N)
k = np.arange(N)
return np.sin(np.pi * np.outer(2 * j + 1, 2 * k + 1) / (4 * N))
def build_eigenfunctions_dct4(N):
"""DCT-IV: cos(pi*(2k+1)*(2j+1)/(4N))."""
j = np.arange(N)
k = np.arange(N)
return np.cos(np.pi * np.outer(2 * j + 1, 2 * k + 1) / (4 * N))
# Grid positions
x_dst3 = np.arange(1, N + 1) / N # regular, interior-ish
x_dct3 = np.arange(N) / N # regular, starts at 0
x_dst4 = (2 * np.arange(N) + 1) / (2 * N) # staggered
x_dct4 = (2 * np.arange(N) + 1) / (2 * N) # staggered
phi_dst3 = build_eigenfunctions_dst3(N)
phi_dct3 = build_eigenfunctions_dct3(N)
phi_dst4 = build_eigenfunctions_dst4(N)
phi_dct4 = build_eigenfunctions_dct4(N)
fig, axes = plt.subplots(2, 2, figsize=(13, 9))
mixed_configs = [
(axes[0, 0], phi_dst3, x_dst3, "DST-III: Dir. left, Neu. right (regular)", "o"),
(axes[0, 1], phi_dct3, x_dct3, "DCT-III: Neu. left, Dir. right (regular)", "s"),
(axes[1, 0], phi_dst4, x_dst4, "DST-IV: Dir. left, Neu. right (staggered)", "^"),
(axes[1, 1], phi_dct4, x_dct4, "DCT-IV: Neu. left, Dir. right (staggered)", "v"),
]
for ax, phi, x, title, marker in mixed_configs:
for k in range(n_modes):
ax.plot(x, phi[:, k], f"{marker}-", ms=4, color=colors[k],
label=f"$k={k}$", alpha=0.8)
# Boundary annotations
ax.axvline(0, color="C3", ls="--", lw=1.5, alpha=0.7)
ax.axvline(1, color="C0", ls="--", lw=1.5, alpha=0.7)
ax.axhline(0, color="k", ls=":", lw=0.5)
ax.set_title(title, fontsize=11)
ax.set_xlabel("$x / L$")
ax.set_ylabel(r"$\phi_k(x)$")
ax.legend(fontsize=8, ncol=3, loc="lower left")
ax.grid(True, alpha=0.2)
plt.suptitle(f"Mixed-BC Eigenfunctions ($N={N}$)", fontsize=14, y=1.01)
plt.tight_layout()
fig.savefig(IMG_DIR / "mixed_bc_eigenfunctions.png", dpi=150, bbox_inches="tight")
plt.show()

Key observations:
- DST-III/IV (Dirichlet left): eigenfunctions vanish at $x=0$ and have zero slope at $x=L$.
- DCT-III/IV (Neumann left): eigenfunctions have zero slope at $x=0$ and vanish at $x=L$.
- The half-integer mode index $(2k+1)$ means these basis functions have no null mode — all eigenvalues are strictly negative.
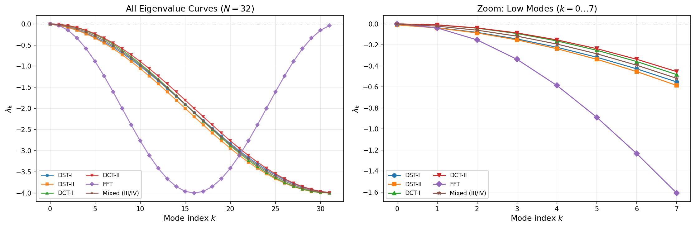
3. Eigenvalue Comparison¶
All nine eigenvalue curves on one plot. Note that the four mixed-BC types (DST-III, DCT-III, DST-IV, DCT-IV) all produce the same eigenvalues.
N_eig = 32
dx_eig = 1.0
k = np.arange(N_eig)
eig_data = {
"DST-I": np.array(dst1_eigenvalues(N_eig, dx_eig)),
"DST-II": np.array(dst2_eigenvalues(N_eig, dx_eig)),
"DCT-I": np.array(dct1_eigenvalues(N_eig, dx_eig)),
"DCT-II": np.array(dct2_eigenvalues(N_eig, dx_eig)),
"FFT": np.array(fft_eigenvalues(N_eig, dx_eig)),
"Mixed (III/IV)": np.array(dst3_eigenvalues(N_eig, dx_eig)),
}
fig, axes = plt.subplots(1, 2, figsize=(15, 5))
# Left: all curves
ax = axes[0]
styles = {
"DST-I": ("o-", "C0"), "DST-II": ("s-", "C1"),
"DCT-I": ("^-", "C2"), "DCT-II": ("v-", "C3"),
"FFT": ("D-", "C4"), "Mixed (III/IV)": ("*-", "C5"),
}
for name, eig in eig_data.items():
style, color = styles[name]
ax.plot(k, eig, style, ms=4, color=color, label=name, alpha=0.8)
ax.set_xlabel("Mode index $k$", fontsize=12)
ax.set_ylabel(r"$\lambda_k$", fontsize=12)
ax.set_title(f"All Eigenvalue Curves ($N={N_eig}$)", fontsize=13)
ax.legend(fontsize=9, ncol=2)
ax.axhline(0, color="k", ls=":", lw=0.5)
ax.grid(True, alpha=0.3)
# Right: zoom into low-k region
ax = axes[1]
k_zoom = slice(0, 8)
for name, eig in eig_data.items():
style, color = styles[name]
ax.plot(k[k_zoom], eig[k_zoom], style, ms=6, color=color, label=name)
ax.set_xlabel("Mode index $k$", fontsize=12)
ax.set_ylabel(r"$\lambda_k$", fontsize=12)
ax.set_title("Zoom: Low Modes ($k=0\\ldots7$)", fontsize=13)
ax.legend(fontsize=9, ncol=2)
ax.axhline(0, color="k", ls=":", lw=0.5)
ax.grid(True, alpha=0.3)
plt.tight_layout()
fig.savefig(IMG_DIR / "eigenvalue_comparison.png", dpi=150, bbox_inches="tight")
plt.show()

Key insight: The mixed-BC eigenvalues (DST-III, DCT-III, DST-IV, DCT-IV) all collapse onto a single curve. This is because they share the formula $\lambda_k = -\frac{4}{dx^2}\sin^2(\pi(2k+1)/(4N))$, regardless of which side gets Dirichlet vs Neumann or whether the grid is regular vs staggered.
4. Eigenfunction Orthogonality¶
Each set of eigenfunctions forms an orthogonal basis (up to a normalisation constant). We verify this by computing the Gram matrix $G_{jk} = \sum_i \phi_j(x_i)\,\phi_k(x_i)$ and checking it is diagonal.
N_orth = 16
def build_eigenfunctions_fft(N):
"""FFT eigenfunctions: exp(2πi·k·n/N)."""
n = np.arange(N)
k = np.arange(N)
return np.exp(2j * np.pi * np.outer(n, k) / N)
phi_sets = {
"DST-I": build_eigenfunctions_dst1(N_orth),
"DST-II": build_eigenfunctions_dst2(N_orth),
"DCT-I": build_eigenfunctions_dct1(N_orth),
"DCT-II": build_eigenfunctions_dct2(N_orth),
"DST-III": build_eigenfunctions_dst3(N_orth),
"DCT-III": build_eigenfunctions_dct3(N_orth),
"DST-IV": build_eigenfunctions_dst4(N_orth),
"DCT-IV": build_eigenfunctions_dct4(N_orth),
"FFT": build_eigenfunctions_fft(N_orth),
}
fig, axes = plt.subplots(3, 3, figsize=(16, 12))
for idx, (name, phi) in enumerate(phi_sets.items()):
row, col = divmod(idx, 3)
ax = axes[row, col]
# Use conjugate transpose to handle complex FFT eigenfunctions
gram = phi.conj().T @ phi
# Normalise to show structure (divide by diagonal)
diag = np.diag(gram).copy()
diag[diag == 0] = 1 # avoid division by zero
gram_norm = gram / np.sqrt(np.outer(diag, diag))
im = ax.imshow(np.abs(gram_norm), cmap="Blues", vmin=0, vmax=1)
ax.set_title(name, fontsize=12)
ax.set_xlabel("$k$")
ax.set_ylabel("$j$")
fig.colorbar(im, ax=ax, shrink=0.8, fraction=0.046, pad=0.04)
plt.suptitle(f"Normalised Gram Matrices ($N={N_orth}$)", fontsize=14)
plt.tight_layout()
fig.savefig(IMG_DIR / "orthogonality.png", dpi=150, bbox_inches="tight")
plt.show()

All nine Gram matrices show diagonal-dominant structure — the off-diagonal entries are at machine precision, confirming orthogonality. The FFT uses complex exponentials ($e^{2\pi i k n/N}$), so its Gram matrix is computed with the conjugate transpose.
5. Stencil Verification¶
The eigenvalues are exact for the discrete second-order Laplacian. We build the tridiagonal matrix $L = [1, -2, 1]/dx^2$ with appropriate boundary modifications and verify that $L \phi_k = \lambda_k \phi_k$ holds to machine precision for the DST-I/II and DCT-I/II cases shown below.
N_stencil = 16
dx_s = 1.0
def tridiag_laplacian_dirichlet_regular(N, dx):
"""Interior Laplacian with Dirichlet BCs (DST-I): v_0 = v_{N+1} = 0."""
L = np.zeros((N, N))
for i in range(N):
L[i, i] = -2.0
if i > 0:
L[i, i - 1] = 1.0
if i < N - 1:
L[i, i + 1] = 1.0
return L / dx**2
def tridiag_laplacian_dirichlet_staggered(N, dx):
"""Cell-centred Laplacian with Dirichlet BCs (DST-II): ψ=0 at half-spacing."""
L = np.zeros((N, N))
for i in range(N):
L[i, i] = -2.0
if i > 0:
L[i, i - 1] = 1.0
if i < N - 1:
L[i, i + 1] = 1.0
# Staggered Dirichlet: ψ(-dx/2) = 0 → ghost ψ_{-1} = -ψ_0
# Stencil at i=0: (ψ_{-1} - 2ψ_0 + ψ_1)/dx² = (-3ψ_0 + ψ_1)/dx²
L[0, 0] = -3.0
L[N - 1, N - 1] = -3.0
return L / dx**2
def tridiag_laplacian_neumann_regular(N, dx):
"""Vertex-centred Laplacian with Neumann BCs (DCT-I): ∂ψ/∂n=0 at boundaries."""
L = np.zeros((N, N))
for i in range(N):
L[i, i] = -2.0
if i > 0:
L[i, i - 1] = 1.0
if i < N - 1:
L[i, i + 1] = 1.0
# Neumann: ghost ψ_{-1} = ψ_0 → stencil gives (-1)*ψ_0 + ψ_1
L[0, 0] = -1.0
L[N - 1, N - 1] = -1.0
return L / dx**2
def tridiag_laplacian_neumann_staggered(N, dx):
"""Cell-centred Laplacian with Neumann BCs (DCT-II): ∂ψ/∂n=0 at cell faces."""
L = np.zeros((N, N))
for i in range(N):
L[i, i] = -2.0
if i > 0:
L[i, i - 1] = 1.0
if i < N - 1:
L[i, i + 1] = 1.0
# Neumann at half-spacing: ghost ψ_{-1} = ψ_0
L[0, 0] = -1.0
L[N - 1, N - 1] = -1.0
return L / dx**2
# Build Laplacians
L_dst1 = tridiag_laplacian_dirichlet_regular(N_stencil, dx_s)
L_dst2 = tridiag_laplacian_dirichlet_staggered(N_stencil, dx_s)
L_dct1 = tridiag_laplacian_neumann_regular(N_stencil, dx_s)
L_dct2 = tridiag_laplacian_neumann_staggered(N_stencil, dx_s)
# Eigenfunctions
phi_sets_stencil = {
"DST-I": (L_dst1, build_eigenfunctions_dst1(N_stencil),
np.array(dst1_eigenvalues(N_stencil, dx_s))),
"DST-II": (L_dst2, build_eigenfunctions_dst2(N_stencil),
np.array(dst2_eigenvalues(N_stencil, dx_s))),
"DCT-I": (L_dct1, build_eigenfunctions_dct1(N_stencil),
np.array(dct1_eigenvalues(N_stencil, dx_s))),
"DCT-II": (L_dct2, build_eigenfunctions_dct2(N_stencil),
np.array(dct2_eigenvalues(N_stencil, dx_s))),
}
fig, axes = plt.subplots(2, 2, figsize=(13, 8))
axes_flat = axes.ravel()
for idx, (name, (L_mat, phi, eigs)) in enumerate(phi_sets_stencil.items()):
ax = axes_flat[idx]
residuals = []
for k_idx in range(N_stencil):
phi_k = phi[:, k_idx]
r = np.linalg.norm(L_mat @ phi_k - eigs[k_idx] * phi_k) / (np.linalg.norm(phi_k) + 1e-30)
residuals.append(r)
ax.bar(np.arange(N_stencil), residuals, color="steelblue", alpha=0.7)
ax.set_yscale("log")
ax.set_ylim(1e-16, 1e-10)
ax.set_xlabel("Mode index $k$")
ax.set_ylabel(r"$\|L\phi_k - \lambda_k \phi_k\| / \|\phi_k\|$")
ax.set_title(f"{name}: Stencil Residuals", fontsize=11)
ax.axhline(1e-14, color="C3", ls="--", lw=1, alpha=0.5, label="Machine $\\epsilon$")
ax.legend(fontsize=9)
ax.grid(True, alpha=0.2, axis="y")
plt.suptitle(
f"Eigenvalue–Stencil Verification ($N={N_stencil}$)",
fontsize=14, y=1.01,
)
plt.tight_layout()
fig.savefig(IMG_DIR / "stencil_verification.png", dpi=150, bbox_inches="tight")
plt.show()

All residuals are at or below $10^{-14}$ — the eigenvalue formulas are exact for the discrete Laplacian, not approximations. This is why the spectral solvers are exact inverses of the finite-difference operator.
6. Summary¶
| If your grid is… | And your BCs are… | Use eigenvalues | Use solver |
|---|---|---|---|
| Cell-centred (staggered) | Dirichlet both sides | dst2_eigenvalues |
solve_*_dst2 |
| Cell-centred (staggered) | Neumann both sides | dct2_eigenvalues |
solve_*_dct |
| Vertex-centred (regular) | Dirichlet both sides | dst1_eigenvalues |
solve_*_dst |
| Vertex-centred (regular) | Neumann both sides | dct1_eigenvalues |
solve_*_dct1 |
| Either | Periodic | fft_eigenvalues |
solve_*_fft |
| Regular | Dir. left + Neu. right | dst3_eigenvalues |
(planned solver) |
| Regular | Neu. left + Dir. right | dct3_eigenvalues |
(planned solver) |
| Staggered | Dir. left + Neu. right | dst4_eigenvalues |
(planned solver) |
| Staggered | Neu. left + Dir. right | dct4_eigenvalues |
(planned solver) |
The mixed-BC solvers (types III/IV) are planned for a future release. The eigenvalue functions are already available for use in custom solvers.